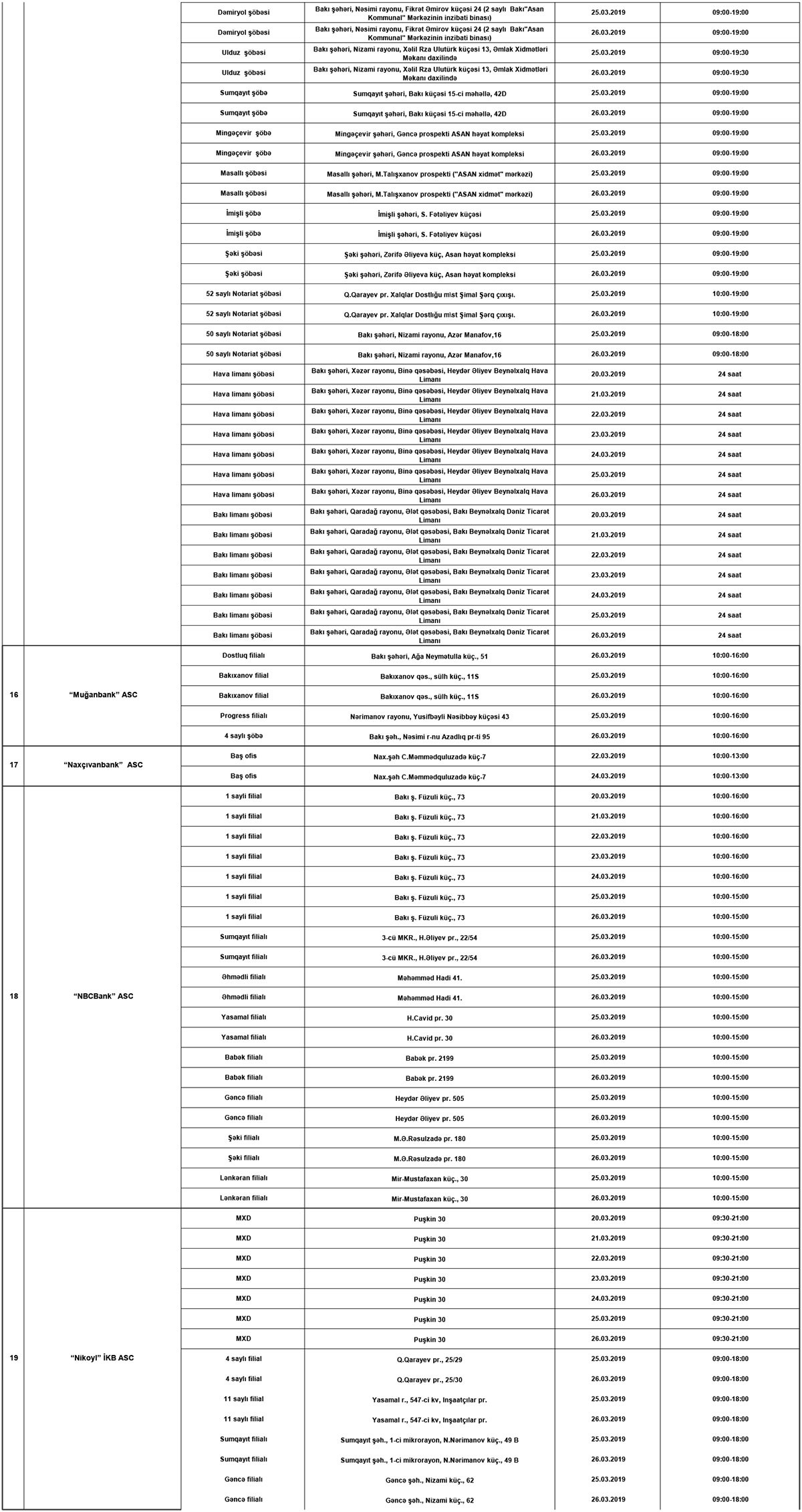
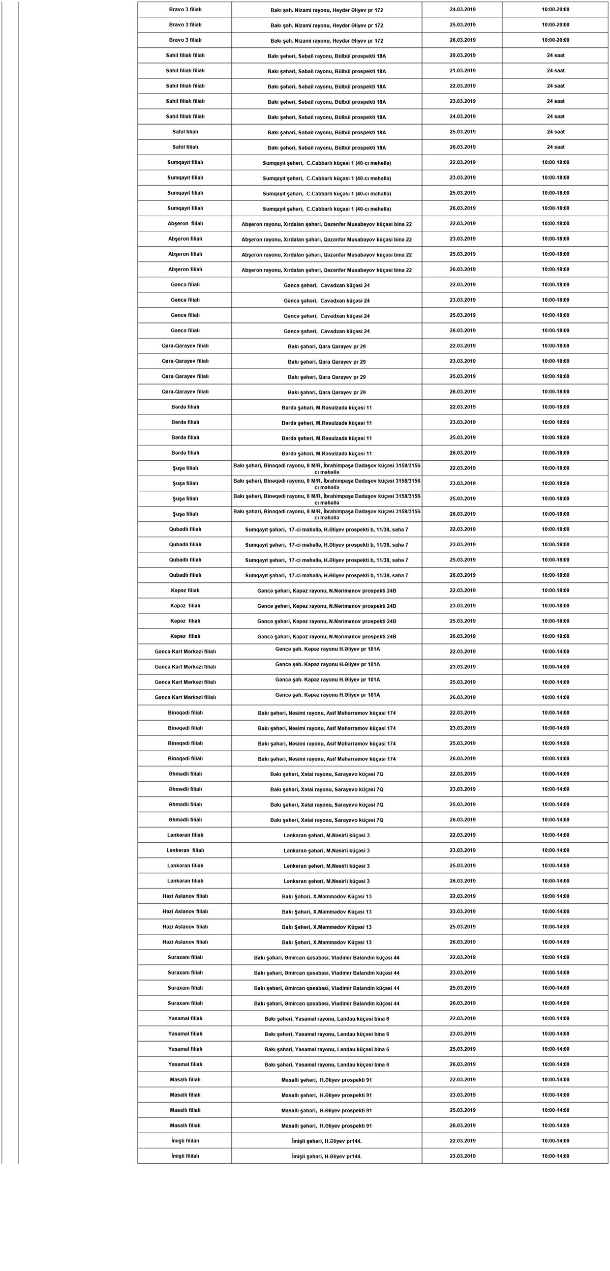
24 bankın 152 filial və şöbəsi gücləndirilmiş iş rejimində çalışacaq - SİYAHI
Ölkə əhalisinin və çoxsaylı turistlərin Novruz bayramı ilə əlaqədar qeyri-iş günləri ərzində bank xidmətlərindən rahat faydalanmasının təmin edilməsi məqsədilə 24 bankın 152 filial və şöbəsi gücləndirilmiş iş rejimində çalışacaq.
Bu barədə "Marja" Maliyyə Bazarlarına Nəzarət Palatasından bildirilib.
Bayram günləri ərzində ölkəmizə əhəmiyyətli turist axınının olacağını nəzərə alaraq onların valyuta mübadiləsi əməliyyatlarını rahat həyata keçirə bilmələri üçün Maliyyə Bazarlarına Nəzarət Palatası paytaxtda və əsas turizm bölgələrində yerləşən bankların filial və şöbələrinə gücləndirilmiş iş rejimində çalışmağı tövsiyə edib.
5 bankın Sumqayıt, Xırdalan, Gəncə, Lənkəran, Şəki, Xaçmaz, Quba, Bərdə, Naxçıvan və digər şəhərlərdə yerləşən 46 filial və şöbəsi müştərilərə xidmət göstərəcək.
Bakıda yerləşən 8 bankın 13 filial və şöbəsi 24/7 rejimində fəaliyyət göstərəcək.
Bundan əlavə, bayram günlərində Palatanın əməkdaşlarından ibarət xüsusi monitorinq qrupu fəaliyyət göstərəcək. Yarana biləcək hər hansı bir problemlə bağlı maliyyə xidmətləri istehlakçıları Palatada yaradılmış qaynar xəttə müraciət edə bilərlər:
Koordinator:
Azər Quluyev
Tel: 493-50-58 (dax:357);
Mob: +994 70 908 62 21
Mail: [email protected]
20-26 mart tarixlərində çalışacaq bank filial və şöbələrinin siyahısı və ünvanları
Müştərilərin xəbərləri
SON XƏBƏRLƏR
- 2 ay sonra
- 3 həftə sonra
-
9 saat əvvəl
Azərbaycan “Vestas Wind Systems” şirkətilə əməkdaşlıq məsələlərini müzakirə edib
-
-
9 saat əvvəl
Prezident İlham Əliyev “DP World” şirkətinin direktoru ilə görüşüb
-
10 saat əvvəl
Prezident İlham Əliyev Braziliyanın “BTG Pactual” şirkətinin sədri ilə görüşüb
-
14 saat əvvəl
Azərbaycan Çin şirkətlərilə alüminium istehsalı üzrə birgə layihələri müzakirə etdi
- 14 saat əvvəl
-
15 saat əvvəl
İnternetin yüksək, orta və aşağı sürətdə olduğu provayderlər - SİYAHI
-
15 saat əvvəl
Azərbaycanın avtomobil istehsalı sektoru 2025-ci ili tənəzzül ilə başa vurub
- 15 saat əvvəl
- 15 saat əvvəl
-
16 saat əvvəl
Azərbaycanda sement istehsalı cüzi artıb - Tikinti materiallarının istehsalı azalıb
Son Xəbərlər
Azərbaycanda Vakansiyalar - Azvak.az
2026-cı ildən sıfır xərclə ticarətə başlayın
Prezident İlham Əliyev “DP World” şirkətinin direktoru ilə görüşüb
Azərbaycan Çin şirkətlərilə alüminium istehsalı üzrə birgə layihələri müzakirə etdi
Ən çox oxunanlar
Azərbaycanda broyler toyuğu necə yetişdirilır?
Bakıda 3 dərəcə şaxta olacaq
Azərbaycanda sement istehsalı cüzi artıb - Tikinti materiallarının istehsalı azalıb
İlham Əliyev İsveçrədə səfərdədir
Azərbaycanda doğum azalıb, ölüm artıb
























